APPLICATION
导言
日盲紫外(240–280 nm)波段无太阳背景噪声,在航空预警、导弹追踪、高压电弧监测等军民领域不可或缺。β-Ga2O3 凭借 4.7–4.9 eV 的宽带隙、高击穿场强和优异辐照硬度,被视为日盲探测“终极材料”,但大面积薄膜的结晶质量与氧空位浓度始终难以兼顾:高温退火(> 800 ℃)虽可提升晶化度,却与 CMOS、TFT读出电路不兼容;低温工艺又常留下高浓度缺陷,导致暗电流居高不下。近期中山大学陈军课题组在《Journal of Alloys and Compounds》报道了一种“Si 诱导再结晶”机制:仅 500 ℃ 退火即可将电子束蒸发制备的 Si:Ga2O3 薄膜晶粒细化至 50–200 nm,氧空位浓度由 11.9%降至 8.1%,对应日盲探测器暗电流低至8.6×10-14A,响应度 5.4 A/W,探测率7.3×1014Jones,R254nm/R400nm 抑制比高达2.1×109,综合性能超越多数高温器件。该策略为大面积、低功耗、TFT 兼容的紫外成像阵列提供了可扩展的材料路线。

分享一篇来自中山大学陈军教授团队的新研究成果,本文以“Achieving nanocrystalline Si-doped Ga2O3 thin films using low-temperature Si induced recrystallization effect for solar blind ultraviolet detection applications”为题发表于期刊Journal of Alloys and Compounds,卓立汉光分析仪器有限公司为合作单位。原文链接:https://doi.org/10.1016/j.jallcom.2025.182823。希望对您的科学研究或工业生产带来一些灵感和启发。
正文
日盲紫外光(240–280 nm)在太阳光谱中几乎被臭氧层完全吸收,因此具备天然低背景噪声的优势,在航空、空间侦察、火焰传感、臭氧空洞监测等领域具有不可替代的作用。选取合适的光导材料是研制高性能日盲探测器的关键。尽管 ZnO、SiC、AlGaN、MgZnO、金刚石等宽带半导体已被广泛研究,β-Ga2O3因其超高临界击穿场强(8 MV cm-1)、化学稳定性及简易掺杂调控而备受关注。然而,高质量、大面积 β-Ga2O3薄膜的可控制备仍面临“温度-晶化度-缺陷”三角矛盾:传统外延或浮区单晶工艺需 > 1000 ℃,与后端 CMOS、TFT 驱动电路不兼容;磁控溅射或电子束蒸发虽可低温成膜,却常陷入非晶+高氧空位陷阱,导致暗电流大、响应慢。如何低温诱导晶化并同步抑制缺陷,是该领域亟待突破的核心瓶颈。

图1 掺硅氧化镓薄膜的特性。(a)制备流程示意图。(b~d)硅诱导再结晶过程示意图。(e)O-500 的表面及截面形貌。(f)不同退火温度下,沉积于二氧化硅包覆硅衬底上的掺硅氧化镓薄膜的 X 射线衍射图谱。(g)500℃退火条件下氧化镓薄膜与掺硅氧化镓薄膜的 X 射线衍射图谱对比。(h)X 射线衍射峰的半高全宽。(i)光学透射光谱。(j)由透射光谱推导的光学带隙。
文章采用电子束共蒸发 Ga2O3(99%)与 SiO2(1%)颗粒,在 SiO2/Si 衬底上沉积 200 nm 非晶先驱层。500 ℃ O2氛围退火后,AFM与SEM显示表面均匀分布50-200 nm 纳米晶粒;而未掺 Si 样品在相同温度下仍保持非晶(XRD 无衍射峰)。高分辨TEM证实,Si原子首先与Ga形成 Ga-Si 键,降低成核势垒;当温度 ≥500 ℃ 时,Ga-Si 键断裂释放的能量驱动 Ga-O 四配位网络重排,形成高结晶度 β-Ga2O3晶核。XRD 在 17°、30.6°、32.1°、35.5°、64.7° 出现(-201)、(400)、(002)、(111)、(403)特征峰,且(002)峰 FWHM 仅 0.39°,已接近脉冲激光外延水平(0.42°)。EDX 面扫描表明 Si 含量 ≈0.35 at.%,且分布均匀,无团簇分相。

图2 原始态、500℃退火及 800℃退火氧化镓薄膜的 X 射线光电子能谱图。(a)X 射线光电子能谱。(b~c)Ga2p3/2、Ga2p1/2及 Ga3d 芯能级谱。(d~f)O1s 芯能级谱。
高分辨 XPS 将 O 1s 分解为 OI(晶格 O2-,530.7 eV)、OII(氧空位,532.0 eV)、OIII(吸附 OH/H2O,533.0 eV)、OIV(SiO2,533.6 eV)四个分量。随退火温度升高,OII占比由 11.9%(原始生长态)降至 8.1%(500 ℃)和 7.6%(800 ℃),直接证明 O 原子外扩散填补空位机制。同时 Ga 2p3/2结合能向低能端移动 0.4 eV,表明 Ga-Si 键增强、Ga-O 共价性提高,导带尾态密度降低。紫外--可见透射光谱显示光学带隙由 4.66 eV 增至 4.88 eV,与氧空位浓度变化趋势一致,为后续高抑制比奠定基础。

图3 原始态、500℃退火及 800℃退火氧化镓光电探测器的光谱响应。(a)掺硅氧化镓薄膜紫外探测器的结构示意图及相应的测试装置图。(b~d)不同偏置电压下测得的光电探测器光谱响应度。(e~g)光电探测器的归一化光谱响应度。

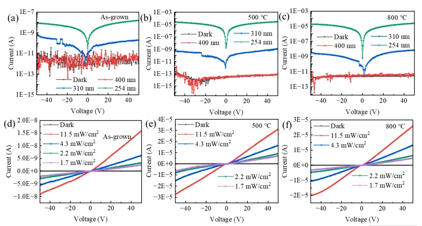
图4 原始态、500℃退火及 800℃退火氧化镓光电探测器的光电探测性能。(a~c)光电探测器在暗态及 254 nm、310 nm、400 nm 光照下的电流 - 电压曲线(各波长光功率密度均为 11.5 mW・cm-2)。(d~f)不同入射光功率密度下、254 nm 光照条件下光电探测器的电流 - 电压特性。

图5 原始态、500℃退火及 800℃退火氧化镓光电探测器的时间响应特性。(a~c)10 V 偏置电压、254 nm光照功率密度为11.5 mW・cm-2条件下光电探测器的时间相关光电流。(d)500℃退火氧化镓光电探测器的上升时间与下降时间。(e、f)上升时间与下降时间的统计分析。
Ti/Au 叉指电极(间距50μm,有效面积5×10-4cm2)器件在20 V偏压下,500℃ 样品254 nm 响应度高达5.4 A/W,比原始生长态提升4个数量级;暗电流仅8.6×10-14A,对应探测率D* = 7.3×1014Jones。归一化光谱显示FWHM窄至40 nm,R254nm/R400nm 抑制比2.1×109,优于多数高温磁控器件(107量级)。时间分辨光电流表明,500℃ 样品跌落时间 t_fall ≈ 99 ms,远快于传统非晶 Ga2O3(~150 ms),且 250 s 连续照射波动 < 3%,显示高稳定性。作者进一步指出,通过优化膜厚与异质结结构,响应度仍有1–2个数量级提升空间。
本文中使用的光电测试系统是卓立汉光公司的DSR300光电探测器光谱响应度标定系统。DSR300光电探测器光谱响应度标定系统结合了北京卓立汉光仪器有限公司给多家科研单位定制的光谱响应系统的特点和经验,采用国家标准计量方法进行全自动测试,是光电器件、光电转换材料的光谱响应性能研究的必备工具。
结论
本工作提出”Si 诱导低温再结晶”新机制,仅 500 ℃ 即可实现高结晶度、低氧空位、纳米级晶粒的 Si:Ga2O3薄膜,兼顾了大面积均匀性与后端 CMOS/TFT 兼容性。所制日盲紫外探测器在20 V低偏压下同时实现 5.4 A/W 响应度、3.6×108开关比、7.3×1014Jones 探测率与 2.1×109抑制比,综合性能超越多数高温工艺器件。该策略为柔性紫外成像、主动矩阵焦平面及低功耗物联网传感节点提供了可扩展、低成本的材料技术路线。
通讯作者及其团队介绍
陈军,南开大学(学士);中山大学(硕士,博士)。研究领域为真空微纳电子器件,研究方向包括大面积纳米冷阴极电子源,纳米冷阴极发光、显示、X射线源和探测器件。在电子科学与技术、光学工程、集成电路工程等专业招收硕士或博士研究生。主持国家重点研发计划项目,主持完成国家重点基础研究发展计划(973)项目子课题、国家高技术研究发展计划(863计划)课题、国家自然科学杰出基金、国家自然科学基金等科研项目。
相关产品推荐

本研究采用的是北京卓立汉光仪器有限公司DSR300光电探测器光谱响应度标定系统。如需了解该产品,欢迎咨询。
免责声明
北京卓立汉光仪器有限公司公众号所发布内容(含图片)来源于原作者提供或原文授权转载。文章版权、数据及所述观点归原作者原出处所有,北京卓立汉光仪器有限公司发布及转载目的在于传递更多信息及用于网络分享。
如果您认为本文存在侵权之处,请与我们联系,会第一时间及时处理。我们力求数据严谨准确,如有任何疑问,敬请读者不吝赐教。我们也热忱欢迎您投稿并发表您的观点和见解。
Copyright © 2020 Zolix .All Rights Reserved 地址:北京市通州区中关村科技园区通州园金桥科技产业基地环科中路16号68号楼B.
ICP备案号:京ICP备05015148号-1
公安备案号:京公网安备11011202003795号

13810146393
在线咨询